淄川区人民政府
淄川区教育和体育局
首页
政务公开
政府信息公开
公共企事业单位信息公开
淄川区双沟镇中心学校
教育教学
教材教辅
标题:
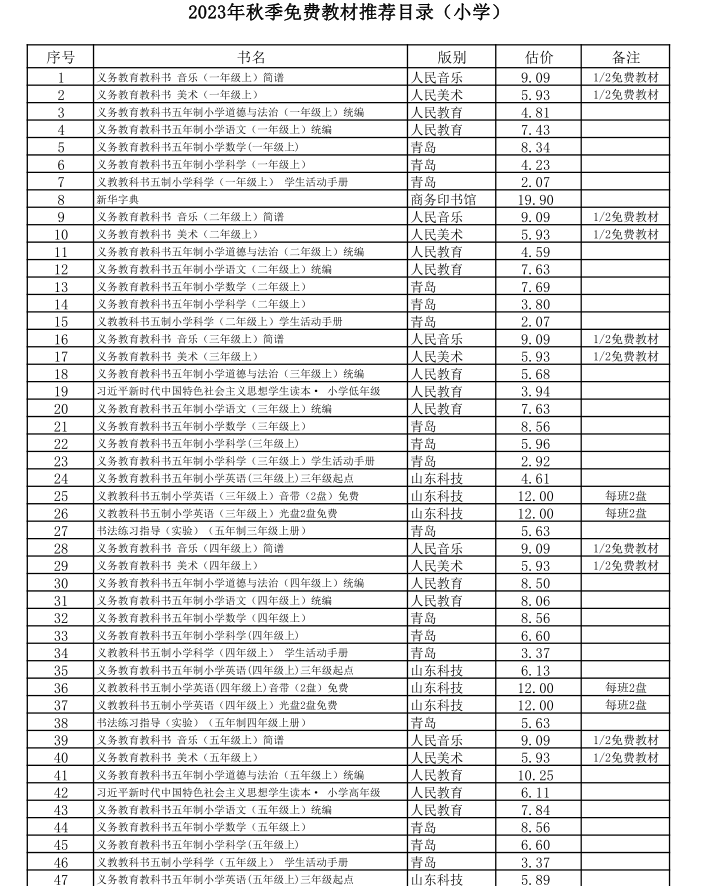
淄川区双沟中心学校教材教辅目录
索引号:
11370302MB2858318T/2023-5381053
文号:
发文日期:
2023-08-09
发布机构:
淄川区教育和体育局
淄川区双沟中心学校教材教辅目录
发布日期:2023-08-09
字号:
大
中
小
|
打印
淄川区双沟中心学校教材教辅目录
分享:
扫码使用手机浏览本页内容