淄川区人民政府
淄川区教育和体育局
首页
政务公开
政府信息公开
公共企事业单位信息公开
淄博理工学校
学生管理
评先树优
标题:
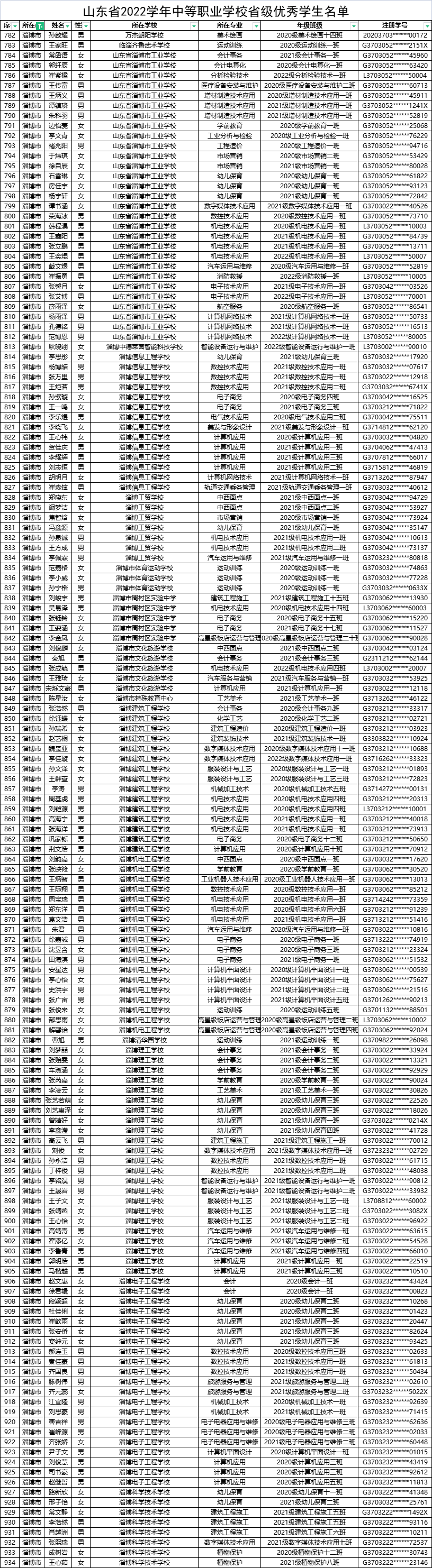
山东省2022学年高中阶段学校学生和班级省级评优结果公示
索引号:
11370302MB2858318T/2023-5371497
文号:
发文日期:
2023-07-15
发布机构:
淄川区教育和体育局
山东省2022学年高中阶段学校学生和班级省级评优结果公示
发布日期:2023-07-15
字号:
大
中
小
|
打印
分享:
扫码使用手机浏览本页内容